Computer Graphics Forum (presented at Eurographics 2026)

Splat-based Metal Artifact Reduction in Cone-Beam CT via Polychromatic Modeling

Kiseok Choi | Inchul Kim | Jaemin Cho | Hyeongjun Cho | Min H. Kim

KAIST

Splat-based Metal Artifact Reduction in Cone-Beam CT via Polychromatic Modeling teaser image (light theme) Splat-based Metal Artifact Reduction in Cone-Beam CT via Polychromatic Modeling teaser image (dark theme)

Abstract

Cone-beam computed tomography (CBCT) enables volumetric reconstruction from X-ray projections, but suffers from severe artifacts–especially beam hardening–when imaging materials with high attenuation such as metals. These artifacts arise from the polychromatic nature of X-rays and are not properly addressed by conventional monochromatic reconstruction algorithms. While recent neural representation-based methods offer improved reconstruction quality, they are computationally expensive and often impractical for deployment. We propose a novel physics-inspired, self-calibrating metal artifact reduction method that efficiently reconstructs 3D CBCT volumes while correcting beam hardening artifacts. Our method integrates a polychromatic X-ray projection model, material-dependent attenuation profiles, and system response modeling into a Gaussian Splatting framework. Unlike prior work, we eliminate the need for manual metal masks or strong prior assumptions, and we optimize both reconstruction parameters and X-ray spectral characteristics jointly during training. We further introduce a high-fidelity synthetic CBCT dataset generation pipeline validated on Monte-Carlo x-ray simulation toolbox and release new datasets with severe metal-induced artifacts to support the community. This is the first splat-based method for reducing beam hardening in CBCT. Extensive experiments on both synthetic and real-world datasets demonstrate that our method outperforms state-of-the-art approaches in artifact suppression and reconstruction accuracy.

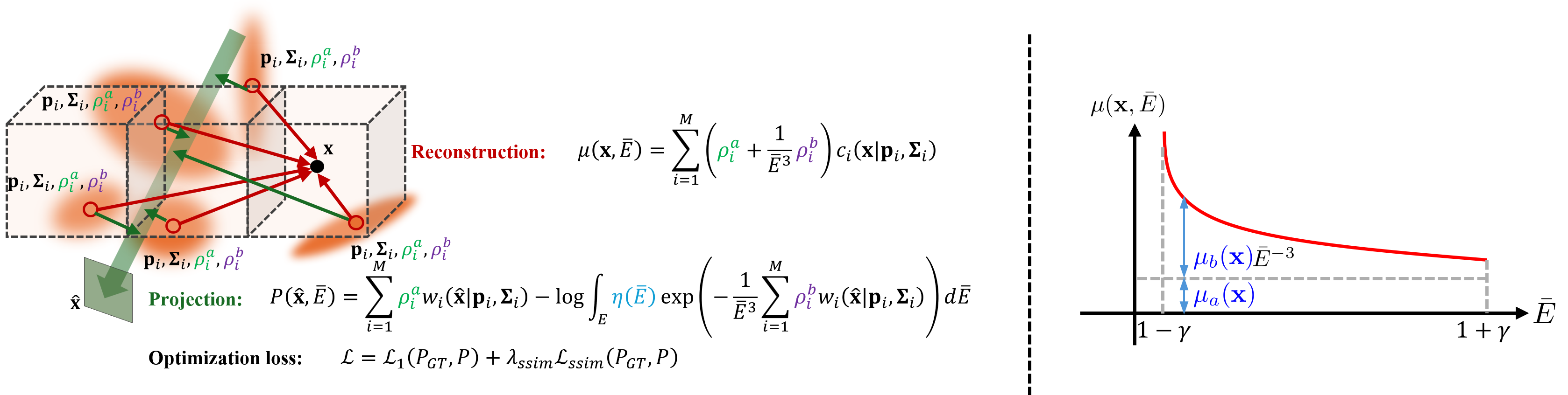
Overview

CBCT reconstruction with differentiable Gaussian primitives and our polychromatic X-ray model.

Our method jointly models projection and reconstruction by optimizing per-Gaussian material parameters together with the global X-ray response. A physics-based attenuation model decomposes material behavior into Compton and photoelectric components, enabling accurate polychromatic forward projection and effective metal artifact reduction without metal masks.

Results

We benchmark against baseline methods (FDK, LIMAR) and NeRF-based MAR approaches (Park et al., Polyner) across synthetic and real scenes. Our method consistently achieves superior artifact reduction while preserving fine structural details.

Synthetic Scenes

Real Scenes

BibTeX

@article{cbctmar:cgf:2026,
  author = {Choi, Kiseok and Kim, Inchul and Cho, Jaemin and Cho, Hyeongjun and Kim, Min H.},
  title = {Splat-based Metal Artifact Reduction in Cone-Beam CT via Polychromatic Modeling},
  journal = {Computer Graphics Forum (Proc. Eurographics)},
  year = {2026},
  doi = {10.1111/cgf.70339},
}

Project page template inspired by Nerfies.